O básico de ggplot2

Aprenda o básico sobre ggplot2 neste tutorial simples

Aprenda a criar gráficos com ggplot2
visualizacao-dados
ggplot2
demografia
Autor

Equipe EKIO Academy

Data de Publicação

20 de janeiro de 2024

Introdução

library(ggplot2)

Scatter Plot

ggplot(data = mtcars, aes(x = mpg, y = wt)) +
  geom_point() +
  labs(
    x = "MPG",
    y = "Weight",
    title = "Scatter Plot",
    subtitle = "MPG vs Weight",
    caption = "Data: Motor Trend Magazine (1974) | EKIO Analytics"
  ) +
  theme_minimal(base_size = 12)

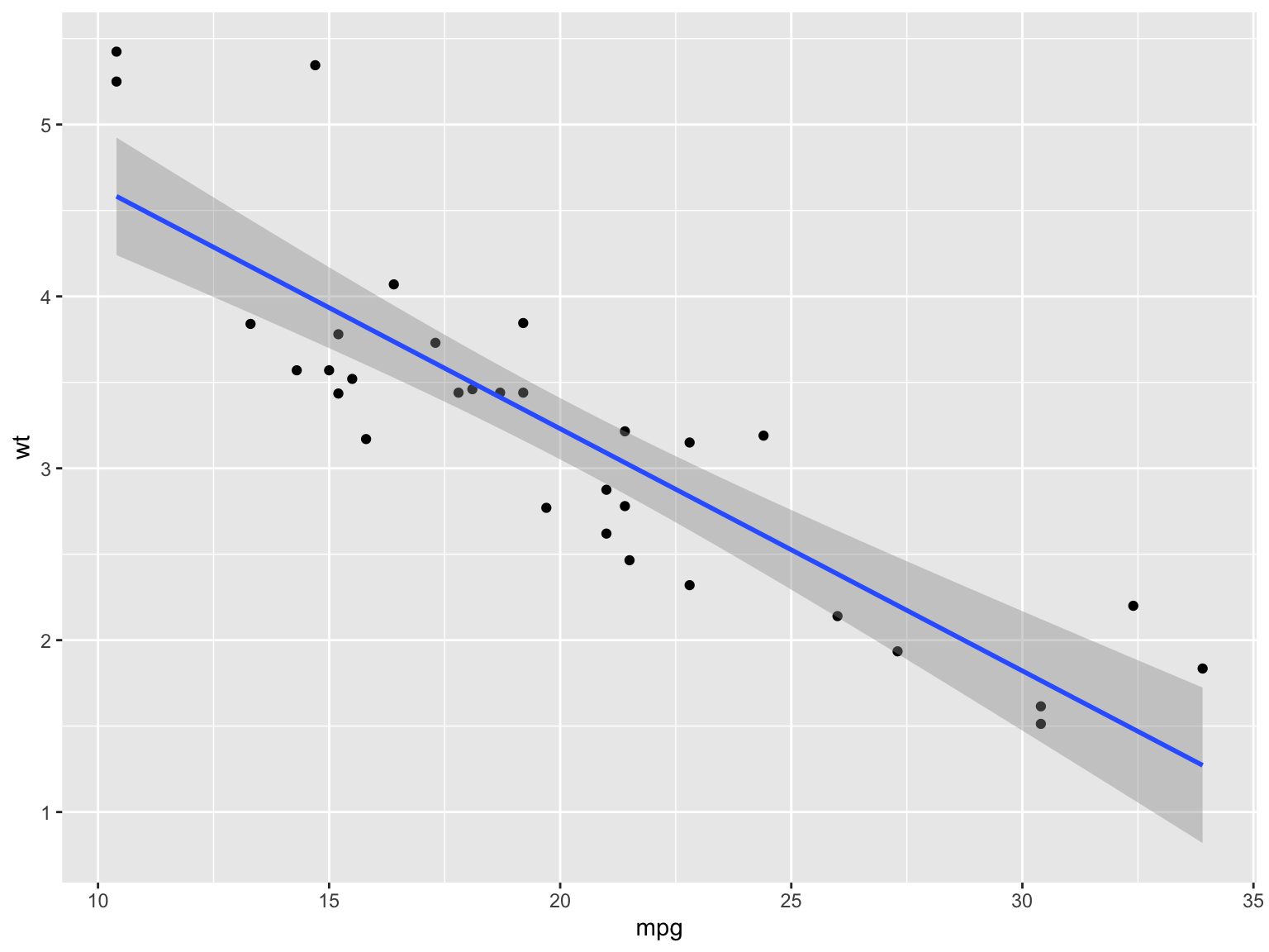
ggplot(data = mtcars, aes(x = mpg, y = wt)) +
  geom_point() +
  geom_smooth(method = "lm")